主要職責
中國科學院貫徹落實黨中央關于科技創新的方針政策和決策部署,在履行職責過程中堅持黨中央對科技工作的集中統一領導。主要職責是:
一、開展使命導向的自然科學領域基礎研究,承擔國家重大基礎研究、應用基礎研究、前沿交叉共性技術研究和引領性顛覆性技術研究任務,打造原始創新策源地。 更多+
院況簡介
中國科學院是國家科學技術界最高學術機構、國家科學技術思想庫,自然科學基礎研究與高技術綜合研究的國家戰略科技力量。
1949年,伴隨著新中國的誕生,中國科學院成立。建院70余年來,中國科學院時刻牢記使命,與科學共進,與祖國同行,以國家富強、人民幸福為己任,人才輩出,碩果累累,為我國科技進步、經濟社會發展和國家安全作出了不可替代的重要貢獻。 更多+
院領導集體
科技獎勵
科技期刊
科技專項
科研進展/ 更多
工作動態/ 更多
工作動態/ 更多
中國科學院學部
中國科學院院部
語音播報
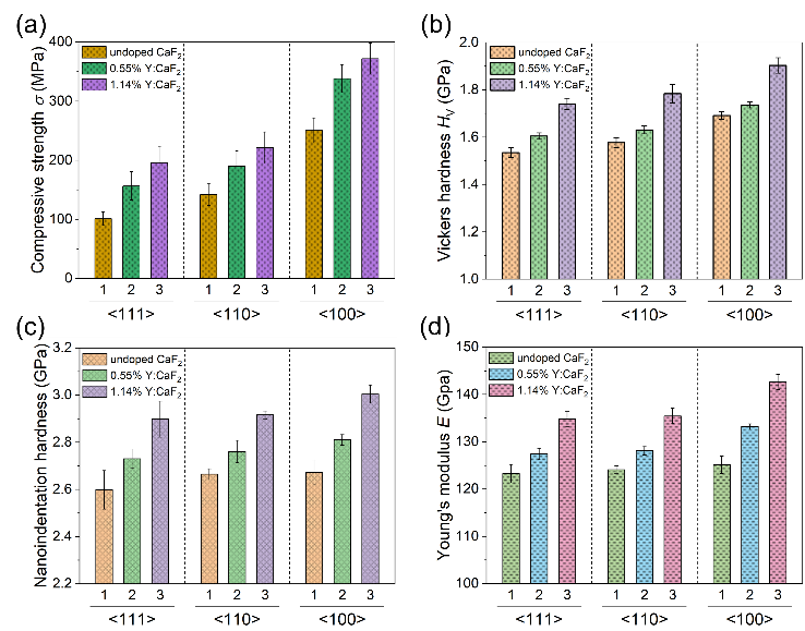
????螢石結構堿土金屬氟化物晶體具備從深紫外至紅外的超寬光譜高透過率、超低色散效應等特性,被廣泛應用于光刻系統光學窗口、激光基質晶體、光譜儀核心元件等高端領域。同時,其良好的離子導電性也使其在固態電解質等能源器件中展現出重要應用潛力。然而,這類材料固有的極端力學各向異性,尤其是{111}晶面極易發生解理,導致其在晶體生長、加工制造及極端工況服役過程中易出現開裂失效,嚴重制約了相關器件的性能與使用壽命,且這一現象背后的原子尺度變形機制尚未得到系統闡明。
針對上述問題,中國科學院上海硅酸鹽研究所研究團隊通過理論計算,揭示了螢石結構堿土金屬氟化物晶體脆性的各向異性與初始塑性變形的微觀機制,構建了基于滑移面原子鍵合的解理—滑移競爭統一理論框架,闡明了長期制約該類光學材料工程應用的脆性失效機理。
研究團隊從能量競爭的角度,量化揭示了螢石結構晶體“脆性—塑性”的各向異性本質。研究表明,螢石晶體{111}晶面呈現極端解理傾向,源于其兼具最低拉伸強度、聲子不穩定性所限制的臨界應變閾值,以及全晶面中最低的解理能。同時,剪切變形過程中同號離子間的強靜電斥力,使該晶面滑移能壘急劇升高,解理能與滑移能壘的比值接近1.0,最終導致材料表現出極端脆性。與之相對,{001}<110>滑移系作為堿土金屬氟化物晶體主導滑移系的微觀機制,具有最低剪切強度,且因陰離子顯著弛豫效應呈現最低廣義層錯能,其解理能與滑移能壘比值大于3.8,這表明位錯主導的塑性變形在能量上遠優于解理斷裂,合理解釋了實驗觀測到的全位錯行為。
研究團隊進一步構建了基于不同滑移面的EC/Γ能量判據框架。該框架可直接推廣至UO2、CeO2、ZrO2等其他螢石結構材料體系,實現了從“經驗解釋”到“定量預測”的轉變,為該類材料力學性能優化提供了明確的設計路徑。例如,通過構建{001}晶面擇優織構、精準摻雜調控鍵合特性等方式,可顯著提升材料的抗斷裂能力與服役可靠性。
該研究建立了螢石結構晶體晶面原子尺度鍵合特性與宏觀力學響應之間的關聯,為高端光學裝備、新能源系統等領域關鍵材料的性能升級提供了核心理論支撐,也為其他脆性功能晶體的變形機制研究與性能優化提供了新思路。
相關研究成果發表在《材料學報》(Acta Materialia)上。研究工作得到國家自然科學基金委員會、中國科學院、中國博士后科學基金會等的支持。

CaF2晶體壓縮強度、硬度及楊氏模量的各向異性

CaF2晶體力學各向異性及滑移面F離子重構降低(100)面的滑移能壘
掃一掃在手機打開當前頁
© 1996 - 中國科學院 版權所有 京ICP備05002857號-1
京公網安備110402500047號 網站標識碼bm48000002
地址:北京市西城區三里河路52號 郵編:100864
電話: 86 10 68597114(總機) 86 10 68597289(總值班室)








