主要職責
中國科學院貫徹落實黨中央關于科技創新的方針政策和決策部署,在履行職責過程中堅持黨中央對科技工作的集中統一領導。主要職責是:
一、開展使命導向的自然科學領域基礎研究,承擔國家重大基礎研究、應用基礎研究、前沿交叉共性技術研究和引領性顛覆性技術研究任務,打造原始創新策源地。 更多+
院況簡介
中國科學院是國家科學技術界最高學術機構、國家科學技術思想庫,自然科學基礎研究與高技術綜合研究的國家戰略科技力量。
1949年,伴隨著新中國的誕生,中國科學院成立。建院70余年來,中國科學院時刻牢記使命,與科學共進,與祖國同行,以國家富強、人民幸福為己任,人才輩出,碩果累累,為我國科技進步、經濟社會發展和國家安全作出了不可替代的重要貢獻。 更多+
院領導集體
科技獎勵
科技期刊
科技專項
科研進展/ 更多
工作動態/ 更多
工作動態/ 更多
中國科學院學部
中國科學院院部
語音播報
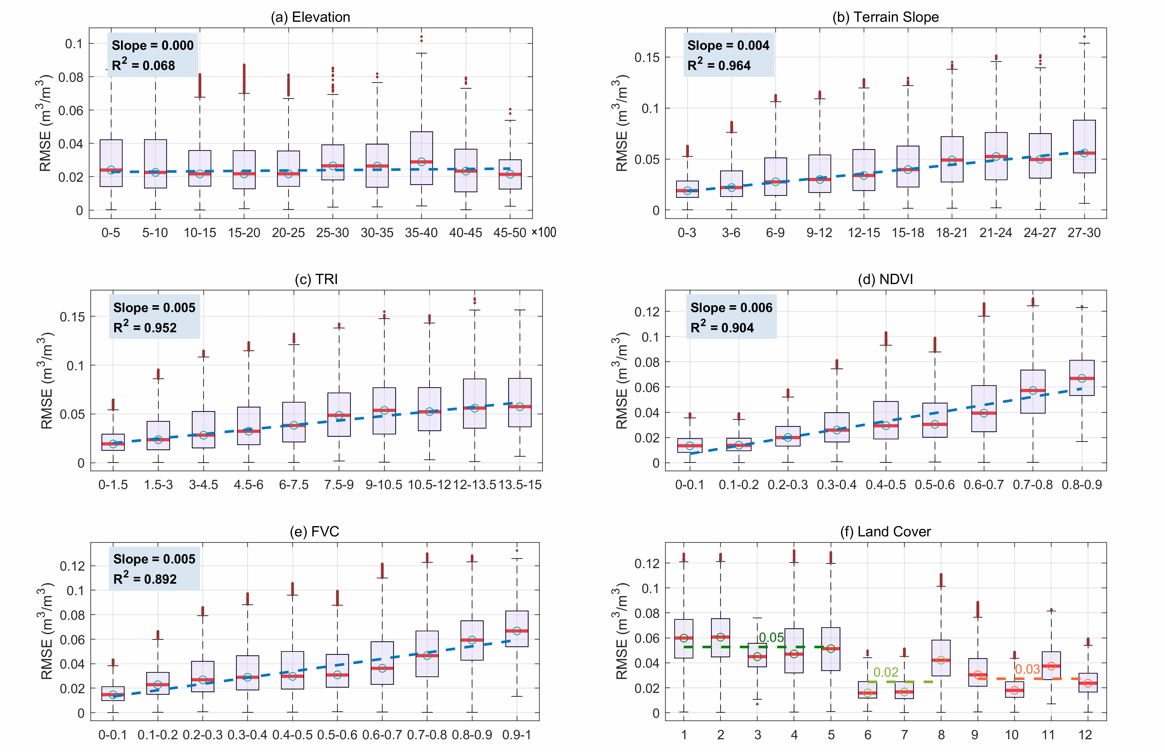
在地形起伏劇烈、氣候條件復雜的山區,遙感土壤水分反演長期面臨地面觀測稀缺、地表異質性強以及算法適應性不足等挑戰,不同衛星產品在山區的可靠性、適用性缺乏系統認識,已成為全球山區水文—生態研究的重要瓶頸。
近期,中國科學院成都山地災害與環境研究所針對全球山區土壤水分遙感產品開展了誤差分析與系統評估。研究整合國際土壤水分共享網絡(ISMN)的地面觀測數據與擴展三重協同法(ETC),對三種主流被動微波土壤水分產品SMAP、SMOS、AMSR2,在全球山區的表現進行了對比分析,從絕對誤差、相對一致性及環境敏感性等多個維度刻畫了不同產品的不確定性特征。
結果表明,在復雜山區環境中,SMAP和SMOS整體性能顯著優于AMSR2。基于站點驗證和ETC評估的綜合結果顯示,SMAP和SMOS在相關性和誤差水平上具有更高一致性,而AMSR2在高坡度、密集植被和復雜地形條件下誤差顯著放大,表現出較弱的環境適應能力。進一步的站點尺度時間序列分析發現,無論是在逐日變化還是年內分配特征上,SMAP和SMOS均能更好地捕捉土壤水分的季節演變過程,尤其在北美山區表現出較強的動態響應能力。這些獨立證據共同驗證了不同產品在山區應用中的系統性差異。
研究指出,盡管山區環境下ETC方法的獨立誤差假設可能受到一定程度破壞,但其在刻畫產品相對性能和環境敏感性方面仍具有重要參考價值。通過將ETC與有限的地面觀測相結合,可為數據稀缺地區提供空間連續的不確定性信息,并為后續土壤水分多源數據融合和權重設定提供科學依據。
該研究成果不僅加深了對遙感土壤水分產品在山區適用性的理解,也為改進反演算法、優化產品選擇以及支撐山區水文與生態應用提供了重要參考。
相關研究成果以Assessing global passive microwave soil moisture retrievals in mountainous terrain: insights from in situ validation and extended triple collocation為題,發表在Geoderma上。研究工作得到國家自然科學基金等的支持。

基于ETC方法評估的全球山區被動微波土壤水分產品的均方根誤差空間分布

全球山區SMAP土壤水分產品的均方根誤差空間分布
掃一掃在手機打開當前頁
© 1996 - 中國科學院 版權所有 京ICP備05002857號-1
京公網安備110402500047號 網站標識碼bm48000002
地址:北京市西城區三里河路52號 郵編:100864
電話: 86 10 68597114(總機) 86 10 68597289(總值班室)








