主要職責
中國科學院貫徹落實黨中央關于科技創新的方針政策和決策部署,在履行職責過程中堅持黨中央對科技工作的集中統一領導。主要職責是:
一、開展使命導向的自然科學領域基礎研究,承擔國家重大基礎研究、應用基礎研究、前沿交叉共性技術研究和引領性顛覆性技術研究任務,打造原始創新策源地。 更多+
院況簡介
中國科學院是國家科學技術界最高學術機構、國家科學技術思想庫,自然科學基礎研究與高技術綜合研究的國家戰略科技力量。
1949年,伴隨著新中國的誕生,中國科學院成立。建院70余年來,中國科學院時刻牢記使命,與科學共進,與祖國同行,以國家富強、人民幸福為己任,人才輩出,碩果累累,為我國科技進步、經濟社會發展和國家安全作出了不可替代的重要貢獻。 更多+
院領導集體
科技獎勵
科技期刊
科技專項
科研進展/ 更多
工作動態/ 更多
工作動態/ 更多
中國科學院學部
中國科學院院部
語音播報
完成單位:中國科學院上海技術物理研究所
由中國科學院上海技術物理研究所研發的風云四號衛星多通道掃描成像輻射計和干涉式大氣垂直探測儀在軌獲取的遙感數據,于2月27日在國家國防科工局和中國氣象局聯合組織的風云四號首批圖像與數據發布會上得到正式發布,確保我國氣象衛星在國際上率先實現高時效對地三維探測,對提高全球觀測能力具有劃時代的重要意義,標志著我國新一代靜止軌道氣象衛星站在了國際競爭的制高點。
上海技物所研發團隊先后破解了亞秒級指向精度的碳化硅雙掃描鏡二維掃描機構研制技術、高靈敏度面陣探測器技術、甚長波紅外探測技術等多項技術難題,實現了所有核心技術自主研發,完成了從基礎機理到核心元部件再到系統集成全創新鏈的自主可控研制,并在軌得到驗證。
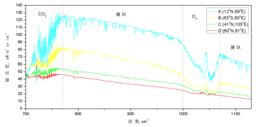
作為國際首臺靜止軌道上工作的精細光譜探測儀器,干涉式大氣垂直探測儀可實現1500個以上細分光譜的探測,為人類深入研究大氣對流,更精細預測災害性天氣提供了新的可能,具有廣闊的應用前景和重大的社會、經濟效益。
相關鏈接:

風云四號A星輻射計第一幅彩色合成圖像


風云四號A星探測儀對地觀測光譜圖
掃一掃在手機打開當前頁
© 1996 - 中國科學院 版權所有 京ICP備05002857號-1
京公網安備110402500047號 網站標識碼bm48000002
地址:北京市西城區三里河路52號 郵編:100864
電話: 86 10 68597114(總機) 86 10 68597289(總值班室)








